Projeto FusionPole
Projeto: POCI-01-0247-FEDER-039940
Designação do projeto: FusionPole-Reutilização de postes de Pinheiro bravo
Montante de investimento aprovado: 475.004,59€
Apoio total: 282.542,77€
Local: Monte Redondo, Leiria
Parceiros: Universidade de Coimbra, LNEC-Laboratório Nacional de Engenharia e SerQ-Centro de Inovação e Competências da Floresta
O projeto
O suporte das linhas aéreas para telecomunicações em Portugal é praticamente feito com uso exclusivo de postes de madeira de Pinheiro bravo. Trata-se de um material de origem natural, de qualidade com um baixíssimo nível de processamento, que garante baixos custos em termos económicos, energéticos e impactos ambientais e existente em grande quantidade até aos incêndios de 2017. Sendo, portanto, um material importante numa política de desenvolvimento sustentável.
Tendo em conta que um pinheiro até ter dimensão suficiente para produzir um poste médio pode levar entre 30 a 40 anos, as recentes ameaças ao setor florestal (pragas, doenças e incêndio) a pressão sobre a procura de toros em quantidade e qualidade suficientes para suprir o mercado de postes para telecomunicações irá repercutir-se num aumento acentuado da escassez de madeira para este tipo de aplicação e portanto à perda de competitividade dos postes de madeira face a outras alternativas menos amigas do ambiente, tais como postes de betão e/ou metálicos. Destaca-se se assim a importância de recuperação de postes em serviço, possibilitando a manutenção em serviço dos troços sem sinais de deterioração, diminuindo a pressão sobre a procura de postes novos e diminuindo o volume de material tratado, que devido ao tratamento preservador é sujeito ao processamento aplicável a resíduos perigosos. Outra questão prende-se com a atual preocupação da possível contribuição dos postes para a propagação de fogos em meio rural.
Promotores
Promotores
Cofinanciado por
Objetivos
Com este projeto pretende-se a definição de um novo produto, poste de madeira compósito, que permitirá manter e, eventualmente aumentar, a cota de mercado existe para os postes de madeira nas telecomunicações. Este novo produto deverá apresentar níveis de desempenho global mecânico, ao fogo e de durabilidade superiores aos postes atuais de madeira.
Este produto será inovador sob várias perspetivas:
- Dimensões personalizáveis, sendo que através de uma utilização otimizada da madeira, será possível obter postes com dimensões e desempenho mecânico praticamente impossíveis de obter somente com recurso a árvores disponíveis na nossa floresta, através da seleção das diferentes partes constituintes de madeira do poste;
- Comportamento ao fogo superior aos postes de madeira atualmente no mercado;
- Melhoria da durabilidade por incorporação de soluções mais robustas em termos de durabilidade na zona do poste em contacto com o solo;
Este projeto irá valorizar um resíduo, os postes de madeira retirados de serviço, e transformá-los num produto personalizado com elevado valor acrescentado, incorporando materiais endógenos não valorizados atualmente.
Metodologia de aproveitamento dos postes retirados de serviço
No âmbito desta atividade procedeu-se inicialmente à definição e aprovação dos critérios de aceitação para a amostra de postes removidos de serviço, estes devem possuir informação sobre tipo de tratamento usado, tempo em serviço e causa de retirada de serviço.
Tendo em conta o referido, apenas foi possível recolher uma amostra de vinte e dois postes. O levantamento das características dos postes compreendeu: o seu tempo em serviço; o seu comprimento; comprimento efetivo para ensaio mecânico; dimensões da base, zona B, linha terra, zona A, a um metro da linha terra e no topo; inclinação do fio; presença de nós; curvatura; existência ou de dano mecânico. Na Tabela são apresentadas as características visuais mais relevantes dos postes estudados. Os defeitos considerados tiveram em conta os mencionados na norma europeia harmonizada EN 14229: 2010 – Structural timber – Wood poles for overhead lines. As zonas A e B encontram-se identificadas na figura 2. Infelizmente verificou-se a falta de rastreabilidade associada aos postes em serviço, prejudicando a recolha integral dos dados solicitados.
Figura 2 - Procedimento de identificação da degradação
Tabela 1 - Caracteristicas visuais dos postes retirados de serviço
| Pole | Comprimento (mm) | Diâmetro nominal (mm) | Desvio do fio (mm) | Diâmetro máximo nós (mm) | Diâmetro máximo nós (% do perímetro da secção) | Diâmetro médio nós (mm) |
|---|---|---|---|---|---|---|
| 2 | 5525 | 179,5 | 0 | 46 | 8,2 | 30 |
| 3 | 6680 | 199,9 | 9 | 56 | 9,8 | 28 |
| 5 | 6120 | 178,6 | 4 | 59 | 11,5 | 33 |
| 6 | 5855 | 183,0 | 20 | 48 | 10,8 | 30 |
| 7 | 7789 | 158,0 | 1 | 57 | 13,1 | 25 |
| 8 | 7870 | 202,1 | 6,5 | 42 | 8,6 | 28 |
| 9 | 6970 | 178,3 | 2 | 81 | 16,5 | 24 |
| 11 | 7663 | 169,0 | 3,7 | 39 | 8,7 | 21 |
| 12 | 6863 | 165,5 | 6,9 | 30 | 7,0 | 15 |
| 13 | 5780 | 158,0 | 6,7 | 20 | 4,1 | 12 |
| 14 | 7130 | 182,4 | 0 | 30 | 5,3 | 16 |
| 15 | 9130 | 168,4 | 2,3 | 32 | 7,3 | 19 |
| 16 | 8100 | 154,0 | 2,0 | 11 | 2,0 | 8 |
| 17 | 8800 | 199,6 | 1,0 | 59 | 9,7 | 29 |
| 18 | 7680 | 176,0 | 0 | 70 | 14,8 | 25 |
| 20 | 7950 | 224,4 | 3 | 71 | 11,4 | 36 |
| 21 | 6950 | 159,8 | 7 | 33 | 7,2 | 18 |
| 22 | 9100 | 141,3 | 2 | 57 | 12,1 | 21 |
| 23 | 8990 | 135,6 | 8 | 59 | 11,6 | 31 |
| 24 | 7080 | 133,7 | 4 | 40 | 7,6 | 22 |
| 25 | 8030 | 125,0 | 17 | 43 | 10,0 | 27 |
| 26 | 9070 | 125,0 | 9 | 53 | 10,6 | 27 |
Posteriormente foi definido o procedimento de avaliação e caracterização dos postes tendo em atenção a sua qualidade e a definição de uma metodologia de definição da zona deteriorada para futura substituição.
Este procedimento consistiu no uso do equipamento Resistograph e na avaliação da coesão superficial (com auxílio de martelo e faca). A utilização do Resistograph compreendeu a realização de seis furos por poste, figura 2:
- Níveis a efetuar os furos:
- A 1 metro da altura do poste (não indiciando podridão) – Perfil de referência.
- No limite superior da zona A.
- À altura do solo.
- No limite inferior da zona B.
- Na zona acima do solo (zona A) onde a avaliação visual não detete sinais podridão. Nessa zona deve ser efetuado furos na zona ainda com sinais de podridão e numa zona 10cm acima da zona com sinais de podridão.
- Condições de execução dos furos:
- A cada altura devem ser efetuados dois furos em direções ortogonais no plano transversal do toro.
- Os furos devem ser feitos em zonas não contendo defeitos como nós ou bolsas de resina.
Em cada poste foram assim efetuadas medições da resistência à furação em várias alturas e localizações de forma a avaliar a existência de degradação biológica e, caso presente, da sua extensão (Figura 3 e 4). No total foram efetuados 132 furos (seis em cada poste).
Figura 3 - Perfil da resistência à furação no caso do poste 7, localização zona B segundo o eixo X1
Figura 4 - Medições efectuadas com registógtrafo
Após a análise dos postes segundo os procedimentos enunciados, procedeu-se ao seu processamento para obtenção de troços de madeira sã que foram posteriormente analisados visual e mecanicamente para obtenção das suas propriedades mecânicas. O levantamento efetuado teve em mente a realização de ensaio segundo a EN 14229:2010 Structural timber – wood poles for overhead lines, Figura 5, de forma determinar a resistência do poste e possível validação da identificação da zona degradada. Os postes antes do ensaio destrutivo foram sujeitos a ensaio não destrutivo por meio de MTG (equipamento disponível no SerQ) (Figura 6) para determinação da frequência própria de vibração. Dos 22 postes analisados somente um evidenciava a existência de degradação biológica. Os resultados obtidos são apresentados na Tabela 2:
Tabela 2-Propriedades mecânicas dos postes retirados de serviço
| Poste | MOE (Mpa) | MOR (Mpa) | f (Hz) |
|---|---|---|---|
| 2 | 4656,92 | 44,9 | 381 |
| 15 | 9743,31 | 37,2 | 278 |
| 3 | 7307,06 | 30,9 | 337 |
| 16 | 11339,24 | 44,5 | 312 |
| 5 | 5939,46 | 36,7 | 361 |
| 17 | 5751,15 | 28,9 | 268 |
| 6 | 9553,82 | 38,2 | 361 |
| 18 | 6835,90 | 24,3 | 309 |
| 7 | 13875,12 | 58,0 | 337 |
| 20 | 5741,77 | 22,6 | 264 |
| 8 | 7047,46 | 32,6 | 298 |
| 21 | 8980,65 | 31,7 | 215 |
| 9 | 12551,42 | 83,2 | 342 |
| 22 | 6985,56 | 31,6 | 273 |
| 11 | 9817,28 | 49,5 | 332 |
| 23 | 9079,94 | 38,2 | 298 |
| 12 | 6250,37 | 38,1 | 342 |
| 24 | 10974,49 | 57,9 | 361 |
| 13 | 12749,02 | 74,4 | 454 |
| 25 | 4969,57 | 17,5 | 268 |
| 14 | 6663,22 | 34,0 | 342 |
| 26 | 4347,63 | 20,8 | 254 |
Figura 5 - Esquema de ensaio dos postes retirados de serviço para determinação das propriedades mecânicas
Figura 6 - Avaliação não destrutiva usando o equipamento MTG
Da análise da Tabela 2, verificamos que efetivamente a madeira sã dos postes retirados de serviço apresenta valores de propriedades mecânicas elevados e que devem ser valorizadas. Para avaliação do procedimento de análise não destrutiva foi efetuada a correlação das propriedades mecânicas com as características visuais e medições não destrutivas. Os coeficientes de correlação obtidos são apresentados na Tabela 3. Da sua análise verificamos que efetivamente o método de análise não destrutiva de vibração longitudinal usando o equipamento MTG é o que apresenta maior coeficiente de correlação com a resistência à flexão (r=0,67), pelo que será esta a metodologia a ser usada na seleção dos troços de madeira sã de postes retirados de serviço.
Desenvolvimento de ligações e ensaio de protótipos
A Atividade 2 “Desenvolvimento de ligações” centrou-se no desenvolvimento de ligações que permitam a recuperação da parte sã do poste por meio de “prótese” constituída por um toro de madeira tratada. Estas ligações deverão resistir a momentos fletores, apresentar bom comportamento à fadiga e requerer uma baixa complexidade de execução. Com base no referido definiram-se como ligações com potencial de aplicação as tipologias de ligação por meio tubo metálico externo/manga metálica e ligação por meio de colagem usando fingerjoint.
Para a fabricação de provetes usando a ligação de tubo externo foi necessário adaptar máquinas de modo a processar os topos para obter cilindros perfeitos com diâmetro igual ao diâmetro interior do tubo metálico, Figura 9. O tubo metálico comercial compatível com os esforços pretendidos corresponde ao tubo de classe S275 com 160,3mm de diâmetro interior, 4mm de espessura e 600m de comprimento, que corresponde a uma entrega de 300mm para cada parte a unir.
Figura 9 - Máquina adaptada para o processamento dos topos a ligar
Figura 10 - Protótipo fabricado usando a ligação de tubo metálico
Figura 11 - Ensaio de protótipo de poste compósito
Para validação da solução foram fabricados 9 protótipos de poste compósito, Figura 10, usando a ligação de tubo metálico. Foi usado tubo metálico S275 de 160,3mm de diâmetro interior com 4mm de espessura e 600m de comprimento, que corresponde a uma entrega de 300mm para cada parte. Os protótipos foram ensaiados segundo a normal EN14229 para determinação da resistência à flexão (MOR) e módulo de elasticidade (MOE), Figura 11, apresentando-se na Tabela 4 os resultados obtidos para os 9 protótipos ensaiados até à data. As roturas obtidas são apresentadas na Figura 12.
Tabela 4: Propriedades mecânicas dos protótipos ensaiados com tubo metálico S275 de 160,3mm e 4mm de espessura ensaiados
| Protótipo | L (mm) | dg (mm) | MOR (MPa) | MOR (MPa) para dg=160,3mm | MOE (MPa) | MOE (MPa) para dg=160,3mm | Carga de rotura (kg) |
|---|---|---|---|---|---|---|---|
| 1 | 8035 | 174,4 | 54,5 | 70,3 | 12071,27 | 15554,08 | 455 |
| 2 | 8010 | 183,0 | 47,1 | 70,0 | 7010,44 | 9834,67 | 140 |
| 3 | 8100 | 213,3 | 14,0 | 32,9 | 4267,03 | 9992,27 | 135 |
| 4 | 8010 | 175,1 | 22,5 | 29,3 | 7076,17 | 9217,98 | 132 |
| 5 | 8015 | 165,0 | 49,42 | 53,9 | 12160,77 | 13262,10 | 352 |
| 6 | 8030 | 175,0 | 27,85 | 36,2 | 9222,24 | 11999,14 | 235 |
| 7 | 8070 | 161,0 | 35,65 | 36,1 | 12305,98 | 12467,90 | 232 |
| 8 | 8055 | 183,0 | 20,93 | 31,2 | 9744,01 | 14504,11 | 202 |
| 9 | 8025 | 175,1 | 31,65 | 41,2 | 10165,86 | 13242,87 | 267 |
Figura 12 - Roturas dos protótipos ensaiados
Os resultados obtidos demonstram que os protótipos apresentam um bom desempenho em termos de resistência à flexão, embora os protótipos 3 e 4 apresentem valores relativamente baixos que se podem dever a defeitos da madeira. De notar que considerando o diâmetro de 160,3m como o diâmetro ao nível do solo, uma vez que é o menor diâmetro da ligação, os valores são superiores. Os valores de rigidez são aceitáveis e em linha com os valores declarados pela Pedrosa & Irmãos para os postes para linhas aéreas. Em todos os casos a rotura aconteceu por tração da madeira, ficando o elemento metálico sem quaisquer deformações.
Tendo em que o elemento metálico não apresentou qualquer deformação, tal significa que provavelmente no comportamento da ligação, o enchimento da madeira no interior do tubo contribui para o incremento da resistência do elemento metálico, situação que não foi considerada no cálculo. Com vista a otimizar o elemento metálico, foram preparados mais 10 protótipos com tubo metálico da classe de resistência S235 com igual diâmetro externo mas com apenas 3mm de espessura, o que resulta num diâmetro interno de 162,3mm. Os resultados dos ensaios desta nova amostra são apresentados na Tabela 5. Verificou-se que os valores são superiores uma vez que este novo tubo permitiu obter um diâmetro maior da madeira, e portanto manter mais lenho adulto que possui maior resistência que o lenho juvenil. A nível de roturas as mesmas continuaram a ser pela madeira, mantendo-se o tubo metálico sem qualquer deformação. Tal significa que seria importante realizar novos ensaios com tubo mais fino, mas não foi possível obter a secção comercial pretendida no mercado, sendo necessário fabricar o que não seria possível durante o projeto. Fica assim como trabalho futuro a realização de ensaios com tubo mais fino, uma vez que tal possibilitaria a redução do custo da ligação quer através da redução o elemento metálico quer através da menor redução de secção necessária para a madeira.
Tabela 5: Propriedades mecânicas dos protótipos ensaiados com tubo metálico S235 de 162,3mm e 3mm de espessura
| Protótipo | L (mm) | dg (mm) | MOR (MPa) | MOR (MPa) para dg=162,3mm | MOE (MPa) | MOE (MPa) para dg=162,3mm | Carga de rotura (kg) |
|---|---|---|---|---|---|---|---|
| 1 | 8040 | 156,0 | 46,6 | 41,4 | 8671 | 7700 | 283 |
| 2 | 8030 | 169,0 | 45,0 | 50,8 | 8751 | 9880 | 345 |
| 3 | 8000 | 170,0 | 50,3 | 57,8 | 8184 | 9405 | 398 |
| 4 | 8080 | 165,5 | 57,2 | 60,7 | 8356 | 8863 | 405 |
| 5 | 8030 | 174,4 | 35,5 | 44,0 | 5549 | 6889 | 322 |
| 6 | 8040 | 178,9 | 48,8 | 65,4 | 6810 | 9119 | 452 |
| 7 | 8110 | 172,0 | 44,1 | 52,5 | 9325 | 11099 | 350 |
| 8 | 8030 | 186,0 | 29,6 | 44,6 | 5458 | 8215 | 300 |
| 9 | 8010 | 172,8 | 40,4 | 48,8 | 7543 | 9111 | 333 |
| 10 | 8030 | 170,0 | 49,4 | 56,8 | 10162 | 11678 | 387 |
Para o estudo da ligação de fingerjoint foi igualmente necessário efetuar a adaptação de máquinas, uma vez que as máquinas existentes no mercado não permitem executar este tipo de ligação em madeira de secção circular não regular. Assim, a configuração escolhida dos dentes da ligação foi a comercial para lamelado colado e que corresponde a um comprimento dos dentes (lj) de 20mm, um passo p de 6,2 mm, parâmetros exemplificados na Figura 13. A máquina adaptada no âmbito do projeto permite a execução dos dentes através de dois peões de freses, a fixação das partes a unir é efetuada através de 2 torres de cada lado que grampeiam e amarram as partes do poste a unir, Figura 14.
Figura 13 - Esquema de uma ligação fingerjoint
Figura 14 - Pormenores da máquina de fazer e colar fingerjoints
Para avaliação do desempenho mecânico foram preparados doze protótipos, três com cola de poliuretano (PUR) e nove com cola de Fenol-Resorcinol-Formaldeído (PRF). Os resultados dos ensaios mecânicos são apresentados na Tabela 6. Da análise dos resultados é possível constatar um desempenho mecânico deste tipo de ligação semelhante ao obtido na tipologia de protótipo com tubo metálico, no entanto com uma rigidez bastante superior. Os protótipos com cola de PUR, ainda que sem primário, apresentaram propriedades mecânicas semelhantes aos protótipos com cola PRF, embora o tamanho das amostras seja diferente. Fotos exemplificativas das roturas com cada tipo de cola são apresentadas nas Figuras 15 e 16 e traduzem-se por rotura na madeira.
Tabela 6: Propriedades mecânicas dos protótipos ensaiados com fingerjoint
| Protótipo | L (mm) | dg (mm) | MOR (MPa) | MOE (MPa) | Cola | Carga de rotura (kg) |
|---|---|---|---|---|---|---|
| 1 | 7880 | 194,2 | 25,9 | 10199 | PRF | 305 |
| 2 | 7860 | 167,7 | 40,2 | 9773 | PUR | 310 |
| 3 | 7740 | 149,0 | 28,5 | 10778 | PUR | 155 |
| 4 | 7820 | 165,5 | 40,9 | 13760 | PRF | 302 |
| 5 | 7820 | 172,0 | 62,5 | 14602 | PRF | 522 |
| 6 | 7815 | 170,0 | 54,4 | 13001 | PRF | 435 |
| 7 | 7870 | 196,0 | 28,6 | 10997 | PRF | 350 |
| 8 | 7865 | 177,6 | 54,0 | 14083 | PRF | 490 |
| 9 | 7830 | 212,3 | 36,1 | 8670 | PRF | 563 |
| 10 | 7835 | 190,3 | 33,2 | 11262 | PRF | 372 |
| 11 | 7870 | 160,0 | 42,4 | 13284 | PUR | 280 |
| 12 | 7900 | 175,0 | 47,5 | 11912 | PRF | 412 |
Figura 15 - Roturas dos protótipos com cola PUR
Figura 16 - Roturas dos protótipos com cola PRF
Ambas as tipologias de protótipos demonstram grande potencial de aplicação, sendo ainda assim importante verificar o seu comportamento a longo prazo. Assim como trabalho futuro fica a aplicação destes protótipos numa linha experimental de modo a averiguar o seu comportamento ao longo do tempo de modo a averiguar quer eventuais folgas que possam surgir na tipologia de protótipo com tubo metálico quer averiguar a performance da cola a longo prazo quando sujeita às diversas condições climatéricas, no caso dos protótipos com ligação colada.
Melhoria da durabilidade
De forma a avaliar a possível reutilização dos postes de pinho bravo, é necessário proceder à avaliação da suscetibilidade de zonas não degradadas dos postes à biodeterioração por diversos agentes de degradação biológica. Nesse sentido, com o objetivo de avaliar a durabilidade dos postes recolhidos na Atividade 1 foram selecionados e produzidas amostras de dez postes para análise nos parceiros LNEC e SerQ, Figura 17, para avaliação da resistência dos postes à ação de fungos de podridão e de térmitas subterrâneas, e consequente determinação da eventual perda de eficácia do tratamento preservador devido ao tempo em serviço. As amostras dos postes selecionados foram cortadas de zonas não degradas e tinham dimensões de 30 mm x 10 mm x 5 mm (para ensaios a fungo de podridão) e de 30 mm x 10 mm x 10 mm (para ensaios a térmitas subterrâneas)
Figura 17 - Obtenção de amostras dos postes selecionados.
A resistência residual a fungos de podridão dos provetes foi avaliada através da aplicação dos ensaios descritos na norma EN113-1:2020. Os provetes foram expostos durante oito semanas a culturas puras de três espécies de fungos: Pycnoporus sanguineus (L.) Murrill (podridão branca), Rhodonia placenta (Fr.) Niemelä, K.H. Larss. & Schigel (podridão castanha) e Coniophora puteana (Schumacher) P. Karsten (podridão castanha) (Figura 18). Seis replicados de cada poste por cada espécie de fungo foram ensaiados. Pinho bravo e faia (Fagus sylvatica L.) foram utilizados como controlos para a podridão castanha e podridão branca, respetivamente. Quatro postes foram submetidos à avaliação da resistência a fungos de podridão castanha, e dez postes foram submetidos à avaliação da resistência a fungos de podridão branca.
Figura 18– Ensaio de avaliação de resistência de provetes de postes de pinho bravo aos fungos de podridão: a) P. sanguineus; b) R. placenta; c) C. puteana
Os resultados médios do ensaio de exposição de provetes de postes de madeira de pinho bravo ao fungo de podridão incluem o teor de água final (%) e a perda de massa (%) dos provetes após a exposição aos fungos e são apresentados Tabela 7 (P. sanguineus) e Tabela 8 (R. placenta); e nas Figuras 19 e 20 (P. sanguineus e R. placenta, respetivamente). Para cada poste apresenta-se também os resultados do respetivo controlo de madeira de faia (P. sanguineus) ou de pinho bravo (R. placenta).
Tabela 7 – Resultados médios do ensaio de exposição de provetes de postes de madeira de pinho bravo ao fungo de podridão P. sanguineus, incluindo o teor de água final (%) e a perda de massa (%).

Tabela 8 – Resultados médios do ensaio de exposição de provetes de postes de madeira de pinho bravo ao fungo de podridão R. placenta, incluindo o teor de água final (%) e a perda de massa (%)

Nas condições do ensaio, apesar da variabilidade dos resultados para o P. sanguineus (que foi superior nos provetes controlo e que se poderá atribuir às diferenças no teor de água final entre os provetes), verificou-se que os provetes provenientes dos postes têm reduzida suscetibilidade à ação do fungo. Quanto à ação da R. placenta sobre os provetes de postes de pinho bravo também se registaram perdas de massa reduzidas.
Na Figura 19 é visível o crescimento do fungo que cobre todos os provetes controlo, o mesmo não se verifica quanto aos provetes dos postes, excetuando um provete do Poste 8 em que se verificou uma percentagem de perda de massa reduzida (0,26 %). Os resultados referentes ao Poste 9, que também foi ensaiado para o fungo P. sanguineus, não foram apresentados por se encontrar ainda a decorrer a determinação do fator de correção (de acordo com a norma EN113-1:2020), que estará finalizada na primeira semana de outubro de 2023.
Figura 19 – Ensaio de avaliação de resistência de provetes de postes de pinho bravo ao fungo de podridão P. sanguineus, no final das 8 semanas de exposição, para os diferentes provetes de postes ensaiados (dois provetes em posição inferior em cada imagem), e respetivos controlos (dois provetes em posição superior em cada imagem)
Figura 20 – Ensaio de avaliação de resistência de provetes de postes de pinho bravo ao fungo de podridão R. placenta, no final das 8 semanas de exposição, para os diferentes provetes de postes ensaiados (dois provetes em posição inferior em cada imagem), e respetivos controlos (dois provetes em posição superior em cada imagem)
A avaliação da resistência residual dos provetes a térmitas subterrâneas foi efetuada usando um método adaptado da Norma EN 117:2012 “Determination of toxic values against Reticulitermes species (European termites) (Laboratory method)”. As térmitas subterrâneas utilizadas pertencem à espécie Reticulitermes grassei (Clément) e foram recolhidas do campo menos de uma semana antes da montagem do ensaio. Foram ensaiados três replicados por cada poste. Como controlo de virulência do ensaio utilizaram-se oito provetes de pinho bravo sem tratamento com as mesmas dimensões, e foram ensaiados oito replicados de controlos.
Os provetes foram ensaiados em frascos de vidro com 100 ml de capacidade, cada um com 150 obreiras de térmitas subterrâneas, instaladas em areia humedecida, de acordo com o método citado de adaptação da norma EN 117:2012 (Figura 21). Os ensaios foram mantidos em ambiente condicionado (24ºC ± 2ºC de temperatura e 80 % ± 5 % de humidade relativa do ar) durante quatro semanas.
Figura 21 – Ensaio de avaliação de resistência de provetes de postes de pinho bravo a térmitas subterrâneas.
No final do ensaio foi verificada a taxa de sobrevivência das térmitas (%), o teor de água final dos provetes (%) e o grau de ataque pelas térmitas, de acordo com a seguinte escala definida na norma referida anteriormente: 0 – Sem ataque; 1 – Tentativa de ataque com escoriações ou roeduras superficiais; 2 – Ataque ligeiro superficial e limitado a um máximo de 1/10 da superfície exposta; 3 – Ataque moderado com extensão superior a 1/10 da superfície exposta ou formação de galerias isoladas com profundidade inferior a 3 mm; 4 – Ataque forte em mais de 1/10 da superfície do provete ou formação de cavidades nos provetes.
A suscetibilidade de zonas não degradadas de postes de pinho bravo retirados de serviço a térmitas subterrâneas foi avaliada através de uma adaptação da norma EN117:2012. No final dos ensaios, o teor de água (%) e a perda de massa (%) dos provetes de postes de pinho bravo e dos controlos foram calculados. A taxa média de sobrevivência das térmitas (%) e o grau de ataque das térmitas (escala de 0 a 4) foram também avaliados (Tabela 9; Figura 22).
Para as condições de ensaio verificou-se que a resistência dos provetes de postes de pinho bravo a térmitas subterrâneas é geralmente elevada, o que se comprova pelos valores baixos de perda de massa dos provetes e de grau de ataque por parte das térmitas, bem como a baixa taxa de sobrevivência das térmitas. A exceção ao referido é o Poste 22, que registou um grau de ataque médio de 2,67 ± 1,15, com perda de massa associada de 5,73 % ± 9,38 %, e uma taxa de sobrevivência média das térmitas de 50,44 % ± 16,36 %, demonstrando suscetibilidade ao ataque por térmitas subterrâneas.
Nestas condições de ensaio, comprovou-se que as térmitas subterrâneas não têm capacidade para se alimentarem e sobreviverem através da ingestão unicamente de madeira proveniente da maioria dos postes de pinho bravo ensaiados.
Tabela 9 – Resultados médios do ensaio de resistência de provetes de postes de madeira de pinho bravo a térmitas subterrâneas, adaptado da norma EN117:2012, incluindo o teor de água final (%), a perda de massa (%), a taxa de sobrevivência das térmitas (%) e o grau de ataque (escala de 0 a 4).

Figura 22 – Provetes após 4 semanas de exposição às térmitas subterrâneas (R. grassei): provete dos Postes 2, 5, 7, 8 e 9 (primeira coluna); postes 11, 17, 20, 22 e 24 (segunda coluna) e os controlos de pinho bravo não tratado (seis provetes na terceira coluna)
Nas condições dos ensaios efetuados, a retenção residual do produto preservador aplicado inicialmente aos postes de pinho bravo foi aparentemente suficiente para controlar o desenvolvimento dos fungos de podridão.
Observou-se que a retenção residual do produto preservador aplicado inicialmente aos postes de pinho bravo foi, para a maioria dos postes, aparentemente suficiente para impedir a instalação de térmitas subterrâneas. No entanto, é de assinalar que os provetes do poste 22 demonstraram ser suscetíveis ao ataque por térmitas subterrâneas.
Conclui-se que os provetes dos postes ensaiados demonstraram ter uma durabilidade adequada relativamente a fungos de podridão, e na sua maioria, a térmitas subterrâneas. Desta forma, na reutilização das zonas não degradadas dos postes de pinho bravo retirados de serviço, não haverá necessidade de voltar a fazer tratamentos biocidas para reforçar a sua durabilidade.
Melhoria do comportamento ao fogo
No âmbito desta atividade foram identificadas tipologias de produtos que permitem a melhoria do comportamento ao fogo de madeira:
- Tratamento autoclave com produtos retardantes do fogo – provocam a redução do volume de matérias voláteis e fragmentos incandescentes libertados durante os estágios iniciais do fogo ou da redução do calor de combustão efetivo
- Tratamento autoclave produtos retardantes de chama – retardam ou, se possível, eliminam a propagação de chamas no elemento a proteger
- Pinturas retardantes – o produto sob a influência do calor do fogo, forma uma camada isolante de espuma
- Tela ou manta superficial que proporciona um desempenho elevado ao fogo.
Destas soluções foram selecionadas para ensaio em postes de madeira para linhas aéreas as proteções por pintura intumescente, aplicação de manta de resina sintética com reforço de fibra de fibra colada à madeira e aplicação de tela de dupla camada com fibra de vidro aplicada por agrafagem à superfície da madeira. Os produtos selecionados para teste em provetes foram os seguintes:
- Solução A – Tinta intumescente ENVIROGRAF HWAP/WB.
- Solução B – Tinta intumescente PROMAPAINT-SC4.
- Solução C – Tela POLESAVER. A tela foi colocada no poste de forma a envolvê-lo e se sobrepusesse num comprimento de ±3cm. Para fixar a tela utilizou-se agrafos de aço inoxidável e pregos de cabeça grande espaçados de cerca de 6cm. No final foi aparado o excesso de tela. Para mais informações sobre a sua aplicação consultar – https://polesaver.com/support/guides/apply-polesaver-fire-fabric/
- Solução D – Manta de fibra de vidro embebida em matriz fenólica. Para mais informações sobre a sua aplicação consultar – DUROPOLE. http://www.duropole.com/#templatemo-about2
Antes da aplicação das proteções foram efetuadas leituras através de humidímetro de agulhas, para avaliação do teor de água, sendo as agulhas penetradas nos postes numa espessura de cerca ≈ 66mm (1/3 do diâmetro adaptando o critério da NP EN 13183-2:2012). As soluções foram aplicadas quando os provetes apresentavam um teor de água inferior a 20%, Figura 23.
A Figura 24 mostra os provetes para ensaio de comportamento ao fogo com as soluções A, B, C e D. Todos os postes foram submetidos a ensaios de avaliação preliminar de desempenho ao fogo na Unidade de Reação ao Fogo (URF) do LNEC. Na Tabela 10 são apresentados os provetes preparados para ensaio.
Figura 24 Provetes para ensaio de comportamento ao fogo
Tabela 10- Características dos postes ensaiados e do tipo de proteção aplicado

Os provetes foram posteriormente sujeitos a ensaio segundo a norma europeia EN13823:2020 Reaction to fire tests for building products – Building products excluding floorings exposed to the thermal attack by a single burning item. Com o objetivo de avaliar o comportamento de um poste de madeira perante um incêndio, optou-se por usar o equipamento SBI, na tentativa de simular um incêndio rasteiro de mato, Figura 25.
Os parâmetros determinados no âmbito do ensaio de fogo foram os seguintes:
- FIGRA - Taxa de desenvolvimento do fogo. Este índice foi calculado atendendo a dois limites de calor libertado (0,2MJ e 0,4MJ).
- THR600s - Calor libertado num período definido de 600 s.
- THR – Calor total libertado.
- TSP600s - Produção total de fumo num período definido de 600 s.
- HRR30s – Média de calor libertado, correspondente a uma média móvel do calor libertado determinada em cada instante t considerando a gama de valores registados no intervalo t-15s e t+15s.
- SPR60s – Taxa de produção de fumo, correspondente a uma média móvel
A determinação dos índices FIGRA e THR600s tem como base a medição e o registo contínuo de vários parâmetros, nomeadamente a temperatura e a diminuição da concentração de oxigénio. A determinação do TSP600s tem como base a medição e o registo em contínuo da temperatura, da diferença de pressão e da atenuação luminosa, os resultados são apresentados na Tabela 11.
Figura 25 - a) Colocação do poste no equipamento SBI; b) Poste sob ensaio
Tabela 11 – Resumo dos ensaios de fogo

Os resultados obtidos apresentam uma diferença significativa de comportamento dos postes com proteção ao fogo (postes 1, 4, 5, 7, 8 e 13) comparativamente aos postes sem proteção (postes 2 e 6), em termos de calor libertado médio (intervalo de 30s) e calor total libertado.
Após o ensaio, foi avaliado o estado da superfície (perda de seção transversal ou coesão superficial) a uma distância de 10cm e 30cm da extremidade inferior do poste e, de forma a permitir uma referência, na zona superior do poste onde não existia sinal de deterioração.
A avaliação consistiu numa avaliação visual complementada com medições de resistência à penetração, efetuadas a 10cm, 30cm e na zona sã do poste. A primeira zona acima dos 10cm do topo é diretamente afetada pela menor ou maior proteção conferida pela placa de silicato de cálcio e manta de lã de rocha aplicada no topo inferior, de forma a evitar a propagação do fogo pelo interior do poste (simulando o que ocorre na prática em que o poste está enterrado e somente a superfície lateral do poste se encontra exposta). No caso das observações a 30cm, considera-se que estas transparecem melhor a eficácia das diferentes soluções ensaiadas. As leituras efetuadas na zona sã pretenderam avaliar a resistência à penetração de cada toro e assim estabelecer uma referência e eliminar a influência das variações de massa volúmica existente entre toros.
Na avaliação do dano, indiretamente medido pela resistência à penetração, foi utilizado o equipamento pilodyn 6J, consistindo num equipamento que induz um impacto de um varão de aço com um diâmetro de 2,5mm na madeira com uma energia de 6J. A medição da profundidade da mossa provocada por esse impacto foi efetuada por intermédio de um paquímetro com precisão de 0,001mm.
Relativamente aos postes sem proteção ao fogo, salienta-se o facto do poste 6 apresentar uma camada carbonizada mais extensa do que o poste 2, quando analisada a face que esteve em contacto com a fonte de ignição, Figura 26. Este aspeto poderá estar relacionado com o facto do poste 6 ter sido tratado com um produto preservador, o qual originou igualmente uma maior emissão de fumos.
Figura 26 – Postes 2 e 6 - ensaiados sem proteção ao fogo
Nos postes tratados com a tinta intumescente ENVIROGRAF (1 e 5) foi igualmente possível verificar uma maior deterioração da tinta intumescente num dos postes (poste 5). O poste 5 com tratamento parece assim apresentar um maior, embora não significativo, dano relativamente ao poste 1 sem tratamento. No entanto observando a secção transversal o dano (camada carbonizada) pode ser considerado como similar, Figura 27.
Figura 27– Postes 1 e 5 - ensaiados com proteção tinta intumescente ENVIROGRAF
Nos postes tratados com a tinta intumescente PROMAPAINT verificou-se uma deterioração (carbonização) semelhante nos postes 4 (não tratado com produto preservador) e 7 (tratado com produto preservador), Figura 28.
Figura 28– Postes 4 e 7 - ensaiados com proteção tinta intumescente PROMAPAINT
O poste 8 foi submetido duas vezes à ação do fogo, como forma de avaliar a deterioração da tela. Apresenta uma forte degradação na zona dos 10cm, Figura 29, devido à presença de uma cavidade não apropriadamente protegida pela placa de silicato de cálcio e manta de lã de rocha aplicada no topo inferior. No caso do poste 13, após remoção da proteção ao fogo, foi possível observar uma ligeira carbonização do poste na face que esteve em contacto com a fonte de ignição.
Figure 29 – Postes 8 e 13 - ensaiados com proteção tela POLESAVER e manta DURPOLE, respetivamente
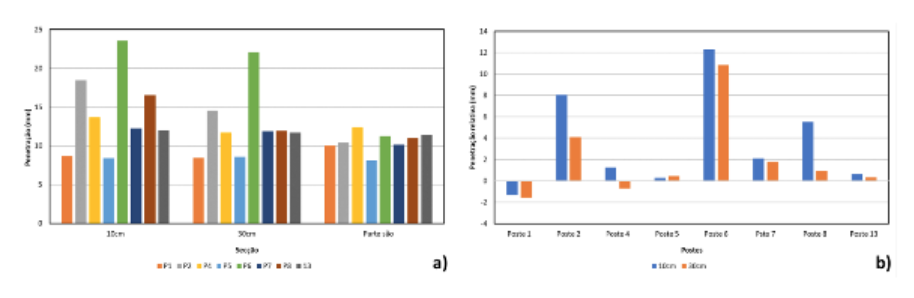
Relativamente à resistência à penetração, observa-se na figura 30a) uma menor penetração (profundidade em mm da mossa provocada pelo impacto do varão metálico induzido pelo Pilodyn) nos postes protegidos relativamente aos postes sem proteção ao fogo (postes 2 e 6). Na parte dos postes sem vestígios de fogo (designada como parte sã) os valores são similares entre os diferentes postes. Normalizando os valores, atendendo a possíveis diferenças de massa volúmica entre os postes (Figura 30b), verifica-se ainda mais claramente a eficácia das soluções testadas. No caso do poste 8, proteção com tela, o valor elevado de penetração fica-se a dever a dois fatores já anteriormente referidos, o primeiro relativo a uma menor eficácia da proteção do topo inferior e o segundo devido a tratar-se de um poste submetido a dois ensaios consecutivos de fogo. De qualquer modo, o poste 8 apresenta na zona dos 30cm valores semelhantes aos obtidos para os restantes postes protegidos contra o fogo.
Figura 30 - Resistência à penetração: a) valores de penetração absolutos; b) valores de penetração relativos atendendo à resistência de penetração das zonas sãs
Tendo em conta os resultados obtidos, as soluções com pinturas intumescentes e materiais/compósitos para aplicação na superfície dos postes mostraram uma significativa melhoria em termos de taxa de desenvolvimento do fogo, calor libertado e produção de fumo. Tendo por base o referido, foram preparados 4 provetes de ensaio à escala real com 4m, 2 com ligação de manga/tubo metálico e 2 sem ligação, para ensaio nas instalações do Centro de Estudos sobre Incêndios Florestais da Associação para o Desenvolvimento da Aerodinâmica Industrial – ADAI (Figura 31).
Anteriormente ao ensaio foi necessário por uma questão de esquema de ensaio, cortar 1,4m aos postes, pelo que nos postes com ligação esta passou a estar a uma distância de 30 cm da base. Em 3 provetes foram aplicadas proteções ao fogo, sendo que o provete sem proteção e sem ligação tem por objetivo servir de controlo e termo de comparação. Em todos os provetes com proteção foi aplicada a tela Polesaver até 1,24m de altura, a partir da linha de terra, sendo que num provete com ligação foi aplicada adicionalmente tinta intumescente na parte metálica. O resumo das características dos provetes é apresentado na Tabela 12 e as fotos dos provetes na Figura 32.
Tabela 12: Resumo das condições dos provetes

Figura 32- Provetes para ensaio de simulação em situação real de incêndio com a proteção aplicada esq) poste sem proteção, centro) poste com ligação e tela Polesaver dir) poste com ligação e tinta intumescente aplicada, antes de aplicação da tela
O esquema de ensaio consistiu na colocação dos provetes em situação vertical com os primeiros 10cm iniciais isolados com fibra de vidro e fita cola ignífuga de modo a simular a parte enterrada. O combustível foi colocado em três cestos, cada um com o volume de 1m3 e a 25 cm do poste (Figura 33). Cada cerca continha 15 kg de mato (mistura de Erica umbelatta, Erica australis, Ulex minor, Chamaespartium tridentatum e Avena sativa). A combustão no cesto, com chama plena e desenvolvida, estima-se em aproximadamente 7 minutos, o qual é um maior tempo de frente de chamas de fogos causados por vegetação sem madeira do que se pode encontrar num incêndio florestal.
Os provetes estiveram submetidos a uma chama com altura de até 5 metros (Figura 33), sob uma radiação incidente com intensidade até 20 kW.m-2 na secção inferior e até 15 kW.m-2 na secção superior. O calor incidente e a temperatura foram maiores na secção inferior.
Na Figura 34 são apresentados os provetes após a exposição às chamas. Embora seja notório visualmente que com a proteção há uma menor carbonização, mesmo com as proteções nos provetes 2 a 4, houve carbonização da superfície dos provetes.
Figura 34 - Provetes após ensaio, provete 1(esquerda) a 4 (direita)
A distribuição de temperatura durante o ensaio para o provete 1 é apresentada na Figura 35, onde se constata que as maiores temperaturas registadas ocorreram na base dos postes (inserir vídeos em anexo). No entanto, no caso do provete 2 com proteção, verificou-se que as maiores temperaturas são vistas na secção superior, tendo a superfície da tela menor temperatura que a secção do poste sem proteção.
Figura 35 - Imagem infravermelho do ensaio
A Tabela 13 resume as condições das proteções dos provetes 1 a 4, e os valores máximos de calor incidente e de temperatura nas superfícies. Da análise dos resultados é possível constatar que a proteção do provete 4 mostrou o melhor desempenho.
Tabela 13: Máximos valores de fluxo incidente e de temperatura nas superfícies.

Para avaliação da profundidade de carbonização, foi efetuado um corte a 30 cm da base, próximo à manga metálica no caso dos provetes com ligação, as medições obtidas são apresentadas na Tabela 14. A diferença entre os testes foi de poucos milímetros (Figura 36). Notou-se uma queima mais profunda no provete 3, inclusive superior ao teste 1 sem proteção, e a queima com menor profundidade foi encontrada no provete 2.
Tabela 14: Profundidade da carbonização

Figura 36. Corte da secção transversal dos provetes
Dos ensaios realizados, pode se concluir que a maior incidência de calor ocorre na secção inferior dos postes. Verificou-se igualmente que a tela não impede a carbonização da superfície dos postes, no entanto os postes com proteção apresentaram menos carbonização.
Em relação à profundidade da carbonização, o provete 3 teve a carbonização mais profunda, até 8 mm, superior inclusive ao provete 1 sem proteção.
Considerando os resultados dos provetes 3 e 4, o uso da manga sem a pintura intumescente, leva a um aquecimento significativo sob a tela.
O provete 4 foi o que apresentou maior diferença no calor incidente sob e sobre a tela. Foi igualmente o provete que apresentou menor temperatura sob e sobre a tela, revelando-se a melhor solução